新型冠狀病毒自從2019年12月被發現以來,由新型冠狀病毒感染導致的肺炎(以下簡稱新冠肺炎)迅速傳播,在很短的時間內從武漢擴散至全國乃至國外。截至2020年2月10日24:00,新冠肺炎全國已經累計確診42708人,疑似21675人,累計治愈3998例 ,新冠肺炎導致的死亡達1017人。
可以說,2020年的整個春節都在疫情的籠罩之下,全國各地人民都自覺閉門在家,實時關注疫情,期盼著疫情拐點早日到來,整個疫情能早日結束。此前,很多分析預測在2月9日左右的疫情拐點并未出現,隨著第一個14天隔離期的結束,全國現有疑似病例在近幾日出現下降,按照專家所說的拐點出現有兩個標志:一是疑似感染下降,二是發病下降。
那么真正的疫情拐點在什么時候呢?今天我們就做一個深度的分析預測,為大家了解新冠肺炎疫情在未來一段時間的發展變化提供些許參考。
疫情數據總體情況
注:疫情數據來自國家衛生健康委員會及湖北省衛生健康委員會官方網站。
我們統計了從2020年1月23日開始至2020年2月9日這段時間的數據用于疫情傳播動力學模型的參數辨識。數據包含:全國每日現有確診病例人數(以下簡稱確診病例),全國每日現有疑似病例人數(以下簡稱疑似病例),全國每日累計出院病例和累計死亡病例人數(以下合稱治愈和死亡病例)。
先分析確診和疑似病例
截至2月9日24:00,全國現有確診病例35982人,疑似病例23589人,其變化情況如下圖1。

圖1 全國每日現有確診與疑似病例數變化趨勢
從分析圖看出,全國疑似病例在8日出現明顯下降,說明隨著接診能力提升,特別是武漢正在加緊盡快完成檢測所有疑似患者的工作,很多疑似患者被排除或確診。如果接診能力繼續大幅提升,疑似患者繼續大幅下降也是可預見的。
再來看治愈和死亡病例曲線變化
截至2月9日24:00,全國累計治愈病例3281人,死亡病例908人,其變化情況如下圖2。目前新冠肺炎還沒有特效藥,只能依靠患者自身免疫力對抗病毒,所以其總人數保持類似指數形式增長。

圖2 全國現有治愈與死亡病例數變化趨勢
通過疫情傳播動力學建模,預測疫情未來發展及拐點時間
? 疫情傳播動力學過程建模
1、疫情特征假設
我們通過分析這一段時間以來湖北以及全國不含湖北地區的疫情變化規律,對新冠肺炎傳播特征做出以下假設:
(1)人群分類:
正常人:指新冠肺炎的易感人群,對病毒沒有抗性,接觸攜帶者或者確診病人即可能被傳染;
疑似病例:指尚未被確診的與新冠肺炎癥狀相同的病人;
確診病例:指經醫學診斷確認為新冠肺炎患者;
移出者:指退出疫情傳播過程的人群,包括治愈和死亡病例。
(2)假設全國人口流動性不大。
(3)假設被隔離人群不能絕對隔離,仍有較低的對外傳染性。
(4)假設已治愈患者具有免疫力,不會二次感染。
(5)假設所有患者均為被他人傳染所致,不存在自體發病(傳染病初期自體發病較少,可忽略不計)。
(6)假設被隔離人群內不存在交叉傳染。
(7)無癥狀病毒攜帶者數量忽略不計。
(8)假設各類人群的在總體人群中為均勻分布。
2、人群類型轉換過程
實際中的人群類型轉換過程如下圖3所示。根據疫情的特點分析可知:(1)疑似病例中只有部分病例為新冠病毒攜帶者,占比可能隨著疫情發展動態變化;(2)已知有媒體反映無癥狀攜帶者也具有傳染能力,這類人由于無癥狀難以被識別可以歸為正常人群;(3)死亡病例和治愈病例均退出了疫情傳播過程,為了方便分析我們將其歸類為移出者。經以上分析,圖3的人群類型轉換過程就簡化為圖4的SEIR模型。

圖3 實際中的人群類型轉換過程

圖4 SEIR模型
3、 數學符號定義
為方便描述,我們定義如下數學符號及含義:
t:相對時間,即疫情從某個時間點開始已經發生的天數
S:正常人群數,隨時間t變化,可表達為S(t)
E:疑似病例數,隨時間t變化,可表達為E(t)
I:確診病例數,隨時間t變化,可表達為I(t)
R:移出者,包括死亡病例、治愈病例,隨時間t變化,可表達為R(t)

4、疫情傳播動力學模型
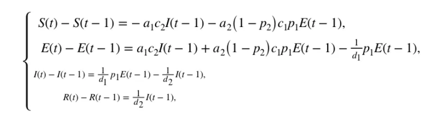
基于SEIR模型改進得到:

該微分方程組離散化之后:

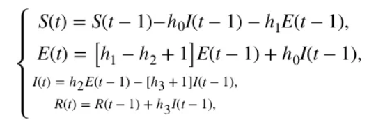
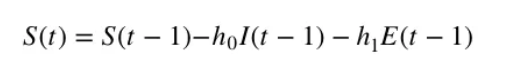
整理并簡化表達為:

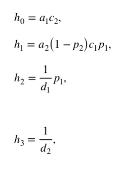
其中,

5、模型參數辨識
(1)S為國內所有正常人群(13億以上),基數比較龐大,其波動值相對于S可以忽略不計,所以可以不予考慮。

可以不予考慮。
(2)由上文數學符號的定義及函數h0,h1,h2,h3的表達式可知,h0,h1,h2,h3 均為時間t的函數,即h0(t),h1(t),h2(t),h3(t)。但該函數的解析式由現有的信息難以確定。為了簡化模型,我們假設函數hi(t)的解析式均為關于時間t的一元高次函數:

其中,wi,j為待確定的未知參數,L為函數自變量t的最高次數。

經過這樣的而簡化,疫情傳播動力學模型中就只剩下未知參數wi,j 。我們構建如下參數辨識問題:
決策變量:未知參數 wi,j
目標函數:

其中,E'(t)為第t天實際疑似病例數,I'(t)為第t天實際確診病例數,R'(t)為第t天實際治愈和死亡病例總數,T為疫情發展中的某段數據。
這是一個無約束非線性非凸優化問題,通過全局優化算法求解該問題即可得到所有的未知參數wi,j 。我們采用改進型的蝙蝠算法(BA)求解該問題,選取2020-01-23開始至2020-02-08這段時間的全國統計數據用于參數辨識,最終得到了一組最優解:
L=1, w= [9.49070574, 3.46131675, 79.99989274, -8.85233172, 24.08240142, -0.83903644, -1.68294284, 0.25594611],計算過程略去。
6、 模型預測結果
將最優解導入模型,經過數據計算得到如下圖5所示結果。由圖表可知2月8日之前的疫情擬合數據與真實數據比較貼近,但是2月9日的疑似病例突然大幅下降使誤差超過6000人,查閱各省數據發現湖北相比2月8日排除疑似病例1128人,9日排除7194人,排除速度增加了6000多人,所以使9日的疑似病例大幅減少。
我們從新聞媒體了解到,2月8日湖北省委書記、省新冠肺炎疫情防控指揮部指揮長蔣超良在武漢市督導疫情防控工作強調,集中兩天時間將全市累積的所有疑似患者檢測完畢,釋放醫護力量和醫療資源,集中用于確診患者。所以由于政府采取了更加強力的疫情防控措施,相信接下來的一段時間,更多疑似人數被排除,新增確診和新增疑似繼續下滑,疫情必將有所好轉。

圖5 模型預測結果
另外,從圖表中我們也能看出實際新增、確診曲線與預測的曲線都保持高度的重合,實際疑似的下降趨勢比預測的要更早些,而且由圖看出,預測的疑似病例在2月10日達到峰值,2月15日確診病例將達到峰值,如果接下來新增確診人數持續走下坡路,我們就可以確定拐點出現了,預計到3月底新增確診才會下降到個位數,標志著疫情進入尾聲??紤]到很多企業從2月10日陸續復工,人員流動也會增加,這無疑增加了疫情周期延長的風險。
拐點的出現僅僅是曙光,確診人數不再增加,那才是全國人民的最后勝利!
總結
截至2020年2月10日24:00,疑似病例基數較大但增長已經放緩甚至開始下降,但確診病例還在持續增加,但新增確診人數已出現下滑,疫情有望在2月16日迎來拐點,隨著新增確診人數繼續下降,醫療資源的配建和治愈力的提升,疫情有望在3月底進入尾聲。
但有一點還需要關注的是,全國不含湖北地區的新增死亡人數進入快速倍增期,已快于新增治愈人數,形勢不容樂觀。雖然省外的醫療系統資源充足,但是由于特效藥的缺乏,無法突破98%的自然存活幾率,因此,特效藥和疫苗的研發刻不容緩。
本文主要從傳染病動力學模型的角度分析疫情的發展趨勢,為大家合理應對新型冠狀病毒肺炎疫情提供參考。當前階段,少出門、戴口罩、疑似病例和病例接觸者做好隔離是控制病毒傳播的最有效手段。相信在黨中央的領導下,在社會各界的努力下定能消除疫情,拐點的出現就是曙光所在。
免責聲明:
疫情發展受人員流動、疫苗的使用及多種干預措施的影響,數學模型難以預判這些干預措施,并且所限定時間節點前的數據僅代表當前的疫情控制情況,其預測結果僅供參考。考慮到防控措施不斷加強,模型的預測結果可能會高估疫情。
本分析報告基于公開疫情數據,通過理解公開文獻中的傳染病模型并加以改進得到。分析預測結果僅作為研究參考,非官方結論。發布者不對本文結果和結論的準確性負責。
本文轉載自微信公眾號 永洪科技,作者:孫豐
樂思輿情監測(knowlesys.cn),助您全面掌握疫情全領域動態。